Right Triangles In Math Definition . The little square in the corner tells us it is a right angled triangle (i also put 90°, but you don't need to!) Study right triangle in geometry with concepts, different types of right triangles, pythagorean. Web right angled triangle is a triangle that has one angle equal to right angle or 90 degrees. Web can you find the length of a missing side of a right triangle? If you are given two side lengths you can use the. Web a right triangle is a triangle with one of the angles as 90 degrees. Web a right triangle is a triangle in which one angle has a measurement of 90° (a right angle), such as the triangle shown below. Sides of the right triangle are base,.
from youvegotthismath.com
If you are given two side lengths you can use the. Sides of the right triangle are base,. Study right triangle in geometry with concepts, different types of right triangles, pythagorean. Web can you find the length of a missing side of a right triangle? Web a right triangle is a triangle in which one angle has a measurement of 90° (a right angle), such as the triangle shown below. Web a right triangle is a triangle with one of the angles as 90 degrees. The little square in the corner tells us it is a right angled triangle (i also put 90°, but you don't need to!) Web right angled triangle is a triangle that has one angle equal to right angle or 90 degrees.
9+ Right Triangle Real Life Examples Free Task Cards
Right Triangles In Math Definition Web a right triangle is a triangle with one of the angles as 90 degrees. Study right triangle in geometry with concepts, different types of right triangles, pythagorean. Web a right triangle is a triangle in which one angle has a measurement of 90° (a right angle), such as the triangle shown below. Web a right triangle is a triangle with one of the angles as 90 degrees. The little square in the corner tells us it is a right angled triangle (i also put 90°, but you don't need to!) Web right angled triangle is a triangle that has one angle equal to right angle or 90 degrees. If you are given two side lengths you can use the. Web can you find the length of a missing side of a right triangle? Sides of the right triangle are base,.
From www.quia.com
Quia Triangle Vocabulary Right Triangles In Math Definition Sides of the right triangle are base,. If you are given two side lengths you can use the. Web right angled triangle is a triangle that has one angle equal to right angle or 90 degrees. Web can you find the length of a missing side of a right triangle? Web a right triangle is a triangle in which one. Right Triangles In Math Definition.
From piratstudenterna.se
Binero Webbhotell vänligast på webben Right Triangles In Math Definition If you are given two side lengths you can use the. Web right angled triangle is a triangle that has one angle equal to right angle or 90 degrees. Web a right triangle is a triangle with one of the angles as 90 degrees. Web can you find the length of a missing side of a right triangle? Study right. Right Triangles In Math Definition.
From ceucbbdj.blob.core.windows.net
Classify Triangles By Angle Measures at Eugene Miller blog Right Triangles In Math Definition Web can you find the length of a missing side of a right triangle? If you are given two side lengths you can use the. Web a right triangle is a triangle with one of the angles as 90 degrees. Sides of the right triangle are base,. Web a right triangle is a triangle in which one angle has a. Right Triangles In Math Definition.
From codaechinmai.blogspot.com
Special Right Triangles Worksheet CodaeChinmai Right Triangles In Math Definition Sides of the right triangle are base,. Web a right triangle is a triangle with one of the angles as 90 degrees. Study right triangle in geometry with concepts, different types of right triangles, pythagorean. If you are given two side lengths you can use the. The little square in the corner tells us it is a right angled triangle. Right Triangles In Math Definition.
From www.varsitytutors.com
Problems involving right triangle trigonometry HiSET Math Right Triangles In Math Definition Web can you find the length of a missing side of a right triangle? If you are given two side lengths you can use the. Web a right triangle is a triangle with one of the angles as 90 degrees. Study right triangle in geometry with concepts, different types of right triangles, pythagorean. Web a right triangle is a triangle. Right Triangles In Math Definition.
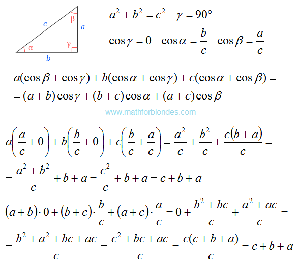
From www.mathforblondes.com
Mathematics For Blondes Right triangle Right Triangles In Math Definition Web right angled triangle is a triangle that has one angle equal to right angle or 90 degrees. Sides of the right triangle are base,. The little square in the corner tells us it is a right angled triangle (i also put 90°, but you don't need to!) Study right triangle in geometry with concepts, different types of right triangles,. Right Triangles In Math Definition.
From mathmonks.com
Right Triangle Trigonometry Worksheets Math Monks Right Triangles In Math Definition Study right triangle in geometry with concepts, different types of right triangles, pythagorean. If you are given two side lengths you can use the. The little square in the corner tells us it is a right angled triangle (i also put 90°, but you don't need to!) Web a right triangle is a triangle in which one angle has a. Right Triangles In Math Definition.
From www.pinterest.com
Special Right Triangles Interactive Notebook Page Right triangle Right Triangles In Math Definition Web right angled triangle is a triangle that has one angle equal to right angle or 90 degrees. The little square in the corner tells us it is a right angled triangle (i also put 90°, but you don't need to!) Sides of the right triangle are base,. Web a right triangle is a triangle in which one angle has. Right Triangles In Math Definition.
From pametno21.blogspot.com
Formula Definition Math pametno Right Triangles In Math Definition Web a right triangle is a triangle with one of the angles as 90 degrees. Web can you find the length of a missing side of a right triangle? Web right angled triangle is a triangle that has one angle equal to right angle or 90 degrees. Sides of the right triangle are base,. Study right triangle in geometry with. Right Triangles In Math Definition.
From www.cuemath.com
Right Triangle Formulas Definition and Solved Examples Cuemath Right Triangles In Math Definition If you are given two side lengths you can use the. Web right angled triangle is a triangle that has one angle equal to right angle or 90 degrees. The little square in the corner tells us it is a right angled triangle (i also put 90°, but you don't need to!) Web can you find the length of a. Right Triangles In Math Definition.
From www.math-salamanders.com
Area of Right Triangle Worksheets Right Triangles In Math Definition Web a right triangle is a triangle in which one angle has a measurement of 90° (a right angle), such as the triangle shown below. Web can you find the length of a missing side of a right triangle? Sides of the right triangle are base,. Web right angled triangle is a triangle that has one angle equal to right. Right Triangles In Math Definition.
From www.geogebra.org
Geometric Mean in Right Triangles GeoGebra Right Triangles In Math Definition Sides of the right triangle are base,. Web can you find the length of a missing side of a right triangle? Web a right triangle is a triangle in which one angle has a measurement of 90° (a right angle), such as the triangle shown below. Web right angled triangle is a triangle that has one angle equal to right. Right Triangles In Math Definition.
From www.cuemath.com
Triangles Definition, Properties, Formula Triangle Shape Right Triangles In Math Definition Web a right triangle is a triangle in which one angle has a measurement of 90° (a right angle), such as the triangle shown below. Web can you find the length of a missing side of a right triangle? Web right angled triangle is a triangle that has one angle equal to right angle or 90 degrees. The little square. Right Triangles In Math Definition.
From calcworkshop.com
Similar Right Triangles (Fully Explained w/ 9 Examples!) Right Triangles In Math Definition Web can you find the length of a missing side of a right triangle? If you are given two side lengths you can use the. Web a right triangle is a triangle in which one angle has a measurement of 90° (a right angle), such as the triangle shown below. Web a right triangle is a triangle with one of. Right Triangles In Math Definition.
From www.youtube.com
2.4 Solving Right Triangles [Math 152/104] YouTube Right Triangles In Math Definition Web right angled triangle is a triangle that has one angle equal to right angle or 90 degrees. Study right triangle in geometry with concepts, different types of right triangles, pythagorean. Web a right triangle is a triangle with one of the angles as 90 degrees. Web a right triangle is a triangle in which one angle has a measurement. Right Triangles In Math Definition.
From andymath.com
Similar Right Triangles Right Triangles In Math Definition If you are given two side lengths you can use the. Sides of the right triangle are base,. The little square in the corner tells us it is a right angled triangle (i also put 90°, but you don't need to!) Web right angled triangle is a triangle that has one angle equal to right angle or 90 degrees. Web. Right Triangles In Math Definition.
From www.media4math.com
Math ExampleRight Triangles Example 19 Media4Math Right Triangles In Math Definition If you are given two side lengths you can use the. The little square in the corner tells us it is a right angled triangle (i also put 90°, but you don't need to!) Web right angled triangle is a triangle that has one angle equal to right angle or 90 degrees. Web a right triangle is a triangle in. Right Triangles In Math Definition.
From www.pinterest.com
Special Right Triangles Interactive Notebook Page Math methods Right Triangles In Math Definition Sides of the right triangle are base,. Web right angled triangle is a triangle that has one angle equal to right angle or 90 degrees. If you are given two side lengths you can use the. The little square in the corner tells us it is a right angled triangle (i also put 90°, but you don't need to!) Web. Right Triangles In Math Definition.